


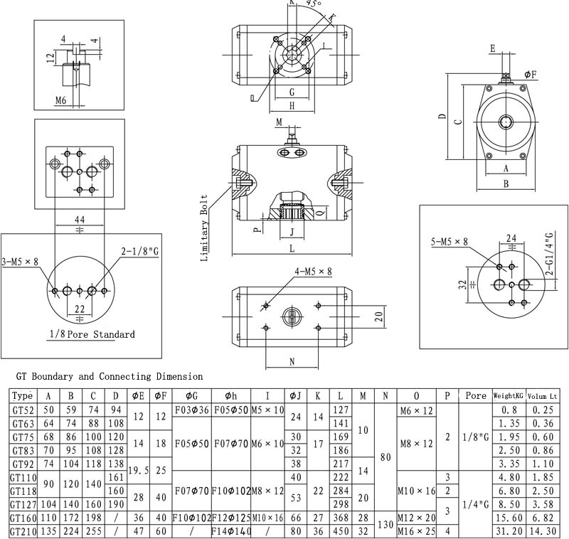
GT Series Valve Pneumatic Actuators , are a new series part-turn type.Whose output rotation angle is 90°.It were made of TIANJIN BAILI ERTONG MACHINERY CO., LTD.It combined with ball valves,butterfly valves and so on,pneumatic valve operation can be realized.GT actuators are also suitable for other mechanic devices with 90°rotation.With attachments such as solenoid